Award: ACG/Radhika Srinivasan Gender-Based Research Award
Ragesh Thandassery, MD1, Allison Wells, MS, BS2, Suria Devarapalli, DO3, Tamar Taddei, MD4 1University of Arkansas for Medical Sciences, Little Rock, AR; 2University of Arkansas for Medical Sciences, Little Rock, AR; 3University of Arkansas for Medical Sciences, Little Rock, AR; 4Dept of Gastroenterology and Hepatology, Yale School of Medicine & VA Connecticut Healthcare System, West Haven, CT Introduction: Female patients historically had longer waiting times and lower transplant rates in the waitlist compared to males for simultaneous liver and kidney transplantation (SLKT). MELD 3.0 (implemented in July 2023) is expected to reduce the gender disparity. Methods: We analyzed the real-world impact of MELD 3.0 on gender disparity for SLKT by comparing outcomes from Jan 2018 to June 2023 (T1 - pre-MELD 3.0) and from July 2023 to Sept 2024 (T2 - post-MELD 3.0) in the UNOS database. Results: A total of 73,738 patients listed for SLKT were included in the study after excluding retransplants. There were 3404 males and 2590 females in Group T1, and 551 and 485, respectively, in Group T2. Females were older at listing in Group T1 but had similar ages in Group T2. The ethnic distribution was similar between the two genders in both Groups. The etiology of cirrhosis was different, predominantly alcohol related in men and MASLD in women, in both Groups. Females had lower serum creatinine levels (at listing) in both Groups, p < 0.001. The median MELD at listing was higher for women in Group T2 (25 [20-31] vs 23 [20-29], p = 0.004), whereas it was the same in Group T1 (24 for both genders), p = 0.26. The distribution of SLK listings across UNOS regions did not reveal any gender disparity in either Group. The median waiting time for SLKT was similar in Group T1, whereas it was shorter for females in Group T2 (67 [14-170] vs. 98 [16-210] days, p = 0.01).
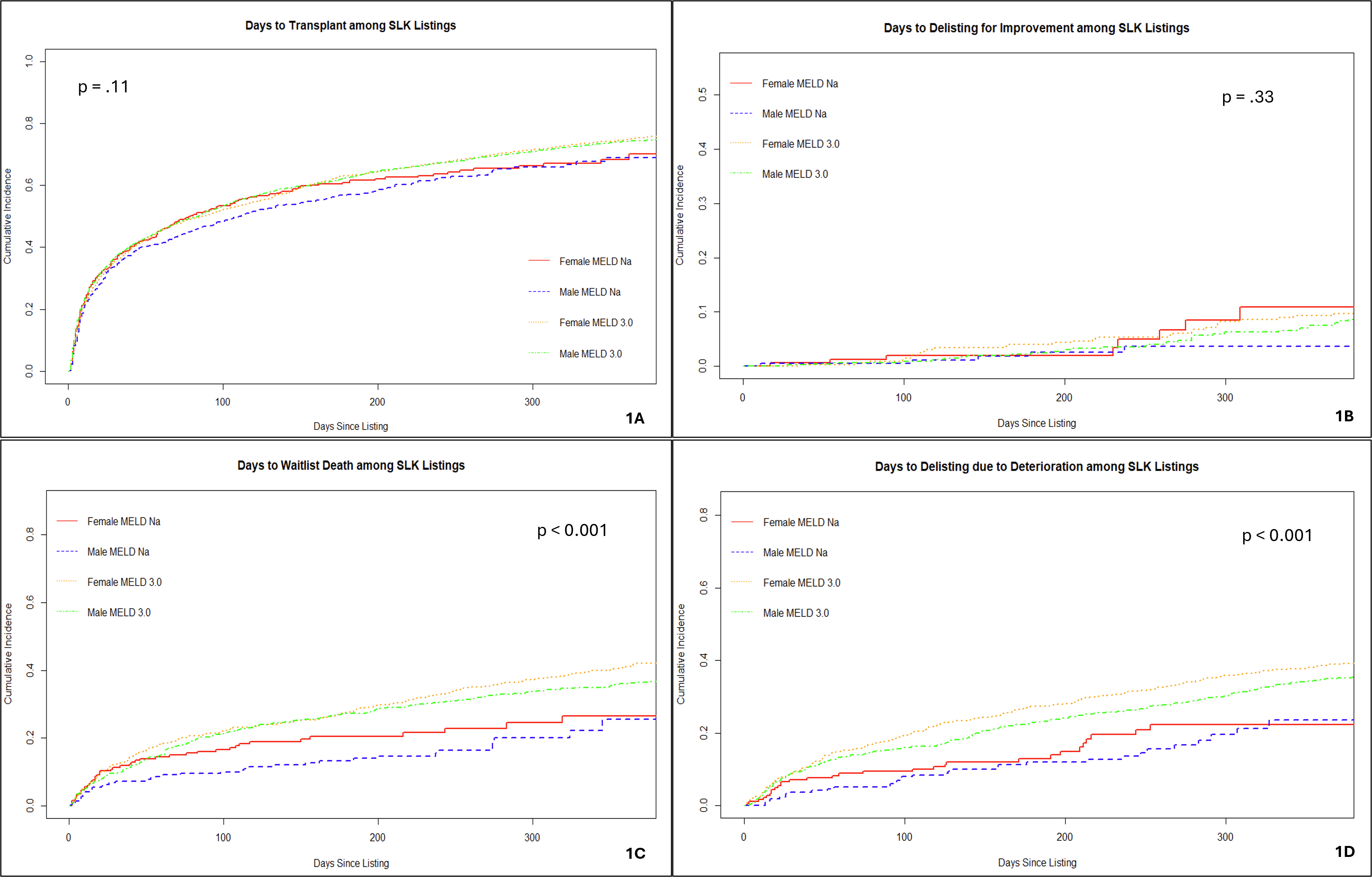
During the follow-up period, the number of patients receiving SLK was comparable in both genders in both groups (M/F 61.4%/60.4% in T1 and 51.7%/53.0% in T2), Fig.1A. Similarly, the rates of patients delisted for improvement on the waitlist was comparable between the genders in both Groups, Fig.1B. There were more deaths on the waitlist in both genders in Group T2 (Fig.1C) and more delisting due to deterioration in both genders in Group T2 (Fig.1D). Discussion: Following the implementation of MELD 3.0, the median MELD at listing for SLKT became higher, and the wait time for SLKT became shorter in females. No gender disparity was noted in the receipt of SLKT and delisting due to improvement before or after implementation of MELD 3.0. Mortality on waitlist and delisting due to deterioration appear higher post-MELD 3.0 for both genders, with a higher occurrence of both outcomes in females. Longer-term follow-up is required to understand further the impact of MELD 3.0 on addressing gender disparity in the receipt of SLKT.
Figure: Title: Competing Risk of Waitlist Outcomes Before and After MELD 3.0 Implementation (using sex/listing period interaction term) Legend: SLKT- simultaneous liver kidney transplantation, 1A- Transplantation, 1B- Delisting due to improvement, 1C- Waitlist death, and 1D- Delisting due to deterioration
Disclosures: Ragesh Thandassery indicated no relevant financial relationships. Allison Wells indicated no relevant financial relationships. Suria Devarapalli indicated no relevant financial relationships. Tamar Taddei indicated no relevant financial relationships.
Ragesh Thandassery, MD1, Allison Wells, MS, BS2, Suria Devarapalli, DO3, Tamar Taddei, MD4, 39, Impact of MELD 3.0 on Gender Disparity in Simultaneous Liver-Kidney Transplantation in the US, ACG 2025 Annual Scientific Meeting Abstracts. Phoenix, AZ: American College of Gastroenterology.